Orwell Astronomical Society (Ipswich)

Home Events

All-Sky Images, 23 June 2018 - 12 August 2024

Introduction

In 1978, OASI member Alan Smith started running an all-sky camera. Unfortunately, a combination of slow optics and increasing levels of light pollution meant that, by 1986, the camera was producing few good results and Alan ceased operations.

Fast-forward 32 years to 2018 and imaging technology had made huge strides: chemical film was a distant memory, imaging was all-electronic and sensitivities were vastly superior to those possible with the earlier equipment. Alan reprised the all-sky camera using modern technology. Later, James Appleton and Martin Richmond-Hardy also began running all-sky cameras. Capturing images from different locations enabled triangulation of meteor trails to estimate the trajectories of the bodies. (The methodology used for triangulation is that of [1] as implemented in [2], with some modifications.)

Unfortunately, both Martin and Alan passed away in 2023.

A selection of images from the cameras is below. The cameras.
 

Details

Images

12 Aug 2024. A Perseid meteor streaks through the Square of Pegasus.

James. 01:55:55 - 01:56:25 UT, single 30 exposure. ZWO ASI 178MC with Fujinon 2.7 mm CF2.7HA-L1 fisheye lens, f1.8, gain 200, colour.

20240812_015625_Perseid_JMA.jpg
27 May 2023. A meteor on the eastern edge of the field of view.

James. 01:08:52 - 01:09:22 UT, single 30 exposure. ZWO ASI 178MC with Fujinon 2.7 mm CF2.7HA-L1 fisheye lens, f1.8, gain 120, colour.

20230527_010922_meteor_JMA.jpg
15 May 2023. The ISS (International Space Station) makes a spectacular passage through Leo, Leo Minor, Canes Venatici, Hercules and Aquila.

James. 23:13:25 - 23:18:58 UT, eleven consecutive 30 exposures. ZWO ASI 178MC with Fujinon 2.7 mm CF2.7HA-L1 fisheye lens, f1.8, gain 120, colour.

20230515_231858_allsky_JMA.jpg
02 May 2023. An exceptionally bright satellite flare rivals the Moon (almost full, beneath the flare) in brightness.

James. 21:41:49 - 21:42:19 UT, single 30 exposure. ZWO ASI 178MC with Fujinon 2.7 mm CF2.7HA-L1 fisheye lens, f1.8, gain 120, colour.

20230502_214219_allsky_JMA.jpg
27 Feb 2023. A faint red auroral glow just above the northern horizon (top of image).

Alan. Circa 21:00, stack of thirty-six 40 s exposures. ZWO ASI294 camera with 4.5 mm Sigma fisheye lens, f2.8, gain 300, colour, rotating shutter.

An auroral display visible over the UK in late February 2023 caught most observers completely unprepared! The display occurred on the nights of 26 and 27 February, and was by far the more intense on the first night, being visible from as far south as Devon.

Observations of the aurora by other OASI observers.

20230227_aurora_AJS.jpg
26 Feb 2023. A red auroral glow just above the northern horizon (top of image).

Alan. 21:21:45 - 21:34:17 UT, stack of eighteen 40 s exposures. ZWO ASI294 camera with 4.5 mm Sigma fisheye lens, f2.8, gain 300, colour, rotating shutter.

20230226_212145_aurora_AJS.jpg
31 Jan 2023. A fireball in Orion (just below the Moon).

Alan. 00:01:09 - 00:01:49 UT, single 40 s exposure. ZWO ASI294 camera with 4.5 mm Sigma fisheye lens, f2.8, gain 300, colour, rotating shutter.

Several cameras captured the event, and UKMON performed an analysis of the observations, concluding that the body was likely a very small asteroid from the main belt, with a mass of 23 kg. The track began at 1.33°W, 51.51°N at an altitude of 93 km and descended steeply, at 68° to the horizontal, finishing some 12 km later at 1.16°W, 51.49°N at al altitude of 63 km. There were various estimates of magnitude; one of the most credible was that the first flare was of magnitude circa -11 and the seond circa -8.5.

20230131_000109_fireball_AJS_767.jpg
17 January 2023. A meteor in Taurus.

Top: Alan. 23:25:12 - 23:25:52 UT, single 40 s exposure. ZWO ASI294 camera with 4.5 mm Sigma fisheye lens, f2.8, gain 300, colour, rotating shutter, 16 BPS 50/50 open/close.

Middle: James. 23:25:29 - 23:25:59 UT, single 30 s exposure. ZWO ASI 178MC with Fujinon 2.7 mm CF2.7HA-L1 fisheye lens, f1.8, gain 200, colour.

Bottom: estimate of the meteor trajectory by triangulating the observations. The object travelled on a path above Basildon to Chelmsford, descending from an altitude of 112 km to 73 km.

20230117_232512_meteor_AJS_386.jpg
20230117_232559_meteor_JMA.jpg
20230117_track.jpg
14 Dec 2022. A meteor in Ursa Major.

Alan. 20:10:46 - 20:11:26 UT, single 40 s exposure. ZWO ASI294 camera with 4.5 mm Sigma fisheye lens, f2.8, gain 300, colour, rotating shutter.

20221214_201046_meteor_AJS_807.jpg
30 October 2022. A fireball in Pegasus.

Top: Alan. 23:28:38 - 23:30:18 UT, single 40 s exposure. ZWO ASI294 camera with 4.5 mm Sigma fisheye lens, f2.8, gain 300, colour, rotating shutter, 16 BPS 50/50 open/close.

Middle: James. 23:29:46 - 23:30:16 UT, single 30 s exposure. ZWO ASI 178MC with Fujinon 2.7 mm CF2.7HA-L1 fisheye lens, f1.8, gain 200, colour.

Bottom: estimate of the meteor trajectory by triangulating the observations. The object travelled on a descending path heading north-west over Essex.

20221030_232838_fireball_AJS_021.jpg
20221030_232945_fireball_JMA.jpg
20221030_track.jpg
11 Aug 2022. A meteor streaks through Lyra and Hercules.

Alan. 22:11:25 - 22:12:05 UT, single 40 s exposure. ZWO ASI294 camera with 4.5 mm Sigma fisheye lens, f2.8, gain 250, colour, rotating shutter.

Although the Perseids meteor shower peaks around 12 August each year, the 2022 display was disappointing. However, around the time of the peak, several sporadic meteors were observed, of which this is one.

20220811_221125_meteor_AJS_025.jpg
09 Apr 2022. A fireball in Corvus and Crater.

Top: Alan. 02:39:20 - 02:40:20 UT, single 60 s exposure. ZWO ASI294 camera with 4.5 mm Sigma fisheye lens, f2.8, gain 300, colour, rotating shutter, 16 BPS 50/50 open/close.

Middle: James. 02:39:24 - 02:40:24 UT, single 30 s exposure. ZWO ASI 178MC with Fujinon 2.7 mm CF2.7HA-L1 fisheye lens, f1.8, gain 200, colour.

Bottom: estimate of the meteor trajectory by triangulating the observations. The object travelled on a descending path heading north-east over the English Channel towards the Isle of Wight.

20220409_023920_fireball_AJS_396.jpg
20220409_024024_fireball_JMA.jpg
20220409_track.jpg
01 Apr 2022. A bright meteor streaks close to Procyon.

Top: Alan. 22:18:01 - 22:19:01 UT, single 60 s exposure. ZWO ASI294 camera with 4.5 mm Sigma fisheye lens, f2.8, gain 300, colour, rotating shutter, 16 BPS 50/50 open/close.

Middle: James. 22:18:15 - 22:18:45 UT, single 30 s exposure. ZWO ASI 178MC with Fujinon 2.7 mm CF2.7HA-L1 fisheye lens, f1.8, gain 200, colour.

Bottom: estimate of the meteor trajectory by triangulating the observations. The object appeared at an altitude of 146 km over Southampton and descended on a north-easterly trajectory, becoming invisible (entering dark flight) at an altitude of 68 km over Slough.

20220401_221801_meteor_AJS_110.jpg
20220401_221845_meteor_JMA.jpg
20220401_track.jpg
26 Mar 2022. A meteor in Aquila leaves a faint trail which persists for several minutes.

Top: Alan. 02:54:50 - 02:55:50 UT, single 60 s exposure. ZWO ASI294 camera with 4.5 mm Sigma fisheye lens, f2.8, gain 300, colour, rotating shutter, 16 BPS 50/50 open/close.

Middle: James. 02:55:00 - 02:55:30 UT, single 30 s exposure. ZWO ASI 178MC with Fujinon 2.7 mm CF2.7HA-L1 fisheye lens, f1.8, gain 200, colour.

Bottom: montage of James's images showing the evolution of the trail over the period 02:55:00 - 02:59:34 UT. Times are end times of images in UT. All images except the first have been significantly contrast-stretched to make the trail visible.

The meteor was also imaged by IMO observers, and logged as event 2028-2022. The IMO triangulated the trajectory, which placed the trail above the town of Achen, Germany, some 370 km distant.

20220326_025450_meteor_AJS_252.jpg
20220326_025530_meteor_JMA.jpg
20220326_025530-025934_trail_JMA.png
24 Mar 2022. A fireball close to Vega.

Top: Alan. 02:26:54 - 02:27:54 UT, single 60 s exposure. ZWO ASI294 camera with 4.5 mm Sigma fisheye lens, f2.8, gain 300, colour, rotating shutter, 16 BPS 50/50 open/close.

Middle: James. 02:27:18 - 02:27:48 UT, single 30 s exposure. ZWO ASI 178MC with Fujinon 2.7 mm CF2.7HA-L1 fisheye lens, f1.8, gain 200, colour.

Bottom: estimate of the meteor trajectory by triangulating the observations. The object became visible at an altitude of 92 km over the North Sea, 34 km due east of Thorpeness on the coast of Suffolk. It then travelled south-west descending, until, at an altitude of 57 km, it entered dark flight.

20220324_022654_meteor_AJS_978.jpg
20220324_022748_meteor_JMA.jpg
20220324_track.jpg
22 Feb 2022. A meteor in Virgo with a very faint start to its luminous trail.

Top: Alan. 22:20:58 - 22:21:58 UT, single 60 s exposure. ZWO ASI294 camera with 4.5 mm Sigma fisheye lens, f2.8, gain 300, colour, rotating shutter, 16 BPS 50/50 open/close.

Middle: James. 22:20:37 - 22:21:07 UT, single 30 s exposure. ZWO ASI 178MC with Fujinon 2.7 mm CF2.7HA-L1 fisheye lens, f1.8, gain 200, colour.

Bottom: estimate of the meteor trajectory by triangulating the observations. The object appeared at an altitude of 76 km over the North Sea and descended on a trajectory towards the Netherlands, becoming invisible (entering dark flight) at an altitude of 46 km.

The images of the meteor have been contrast-enhanced to make the faint initial segment of the trail visible.

20220222_222058_meteor_AJS_472.jpg
202202222_22107_meteor_JMA.jpg
20220222_track.jpg
05 Feb 2022. Six (possibly more) satellites from Starlink group 4-7, launched on 03 February 2022, create trails stretching almost from horizon to horizon, through Virgo, Ophiuchus and Aquila, and bright flares.

Top: Alan. 05:55:29 - 05:59:37 UT, stack of four 60 s exposures. ZWO ASI294 camera with 4.5 mm Sigma fisheye lens, f2.8, gain 300, colour, rotating shutter, 16 BPS 50/50 open/close.

Bottom: James. 05:55:47 - 05:59:49 UT, stack of eight 30 s exposures. ZWO ASI 178MC with Fujinon 2.7 mm CF2.7HA-L1 fisheye lens, f1.8, gain 200, colour.

The images have been contrast-boosted to make the satellite trails more obvious.

20220205_055529-055837_Starlink_AJS_406.jpg
20220205_055617-055949_Starlink_JMA.jpg
05 Feb 2022. A bright fireball streaks through Cassiopeia.

Top: Martin. 02:11:39 - 02:11:44 UT, video from UKMON 56 camera.

Middle: stack of video frames as above.

Bottom: Alan. 02:10:56 - 02:11:56 UT, single 60 s exposure. ZWO ASI294 camera with 4.5 mm Sigma fisheye lens, f2.8, gain 300, colour, rotating shutter, 16 BPS 50/50 open/close.

UKMON report of the event.


20220205_021139_fireball_MRH.png
20220205_021056_fireball_AJS_710.jpg
10 Jan 2022. A fireball in Boötes ejects material creating a small cloud which gradually disperses.

Top: Alan. 05:42:44 - 05:43:44 UT, single 60 s exposure. ZWO ASI294 camera with 4.5 mm Sigma fisheye lens, f2.8, gain 300, colour, rotating shutter, 16 BPS 50/50 open/close.

Next: James. 05:43:01 - 05:43:31 UT, single 30 s exposure. ZWO ASI 178MC with Fujinon 2.7 mm CF2.7HA-L1 fisheye lens, f1.8, gain 200, colour.

Next: montage of Alan's images showing formation and gradual dispersion of cloud of material ejected by the bolide. Images are 60 s duration; times are start of image.

Next: corresponding montage of James's images. Images are 30 s duration; times are end of image. Two distinct pieces of ejecta from the bolide are marked by arrows.

Bottom: estimate of the meteor trajectory by triangulating the observations. The object appeared at an altitude of 118 km over the North Sea off Essex and descended on a trajectory parallel to the coast, becoming invisible (entering dark flight) at an altitude of 77 km.

20220110_054244_meteor_AJS_662.jpg
20220110_054331_meteor_JMA.jpg
20220110_054244-055208_composite_AJS.jpg
20220110_054331-054603_composite_JMA.jpg
20220110_track.jpg
06 Jan 2022. A spectacular fireball streaks through Hydra.

Top: Alan. 02:08:37 - 02:09:37 UT, single 60 s exposure. ZWO ASI294 camera with 4.5 mm Sigma fisheye lens, f2.8, gain 300, colour, rotating shutter, 16 BPS 50/50 open/close.

Middle: James. 02:09:03 - 02:09:33 UT, single 30 s exposure. ZWO ASI 178MC with Fujinon 2.7 mm CF2.7HA-L1 fisheye lens, f1.8, gain 200, colour.

Bottom: estimate of the meteor trajectory by triangulating the observations. The object became visible at an altitude of 124 km off the French west coast at Fort-Mahon-Plage and travelled due north, descending, until it reached an altitude of 31 km over Dover, where it entered dark flight.

20220106_020837_fireball_AJS_585.jpg
20220106_020933_fireball_JMA.jpg
20220106_track.jpg
22 Nov 2021. A fireball through Perseus and Cassiopeia.

Top: Alan. 01:04:21 - 01:05:21 UT, single 60 s exposure. ZWO ASI294 camera with 4.5 mm Sigma fisheye lens, f2.8, gain 250, colour, rotating shutter, 16 BPS 50/50 open/close.

Next: James. 01:04:27 - 01:04:57 UT, single 30 s exposure. ZWO ASI 178MC with Fujinon 2.7 mm CF2.7HA-L1 fisheye lens, f1.8, gain 200, colour.

Next: Martin. 01:04:47 - 01:04:49 UT, single 2.5 s exposure. ZWO ASI 120MM with 1.55 mm fisheye lens, B&W.

Bottom: estimate of the meteor trajectory by triangulating the observations (there were too few stars visible in Martin's image to enable triangulation). The object became visible at an altitude of 93 km and descended over Bury St. Edmunds, producing a terminal flare at an altitude of 51 km.

20211122_010421_fireball_AJS_881.jpg
20211122_010457_fireball_JMA.jpg
20211122_010409_fireball_MRH.png
20211122_track.jpg
11 Nov 2021. A bright fireball streaks through Cepheus and Draco.

Alan. 22:08:06 - 22:09:06 UT, single 60 s exposure. ZWO ASI294 camera with 4.5 mm Sigma fisheye lens, f2.8, gain 300, colour, rotating shutter.

Members of UKMON calculated the trajectory as follows. The meteor, weighing about 11 g, entered the atmosphere over Thetford at an altitude of about 107 km travelling at around 31 km/s. Its short, steep flight ended its visible phase above Kings Lynn at about 59 km altitude. It reached a maximum visible magnitude of about -5.8. The object is unlikely to have survived passage through the atmosphere. The all-sky image shows the bright trail with around 30 breaks caused by the rotating shutter (producing 16 breaks/second), giving a visible flight of about 2 s, ending with a small terminal flare. Zooming-in to the image shows at least one glowing ember continuing beyond the flare event! A radio meteor detector in Ipswich picked up a faint echo of the Brams transmitter (in Dourbes, Belgium) via ionisation of the trail. Unfortunately, no other OASI-operated cameras captured the event.

20211111_220806_fireball_AJS_489.jpg
30 Oct 2021. A fireball in Pisces, less than 3 hours after the last!

Top: Alan. 00:17:06 - 00:18:06 UT, single 60 s exposure. ZWO ASI294 camera with 4.5 mm Sigma fisheye lens, f2.8, gain 300, colour, rotating shutter, 16 BPS 50/50 open/close.

Middle: James. 21:18:59 - 21:19:29 UT, single 30 s exposure. ZWO ASI 178MC with Fujinon 2.7 mm CF2.7HA-L1 fisheye lens, f1.8, gain 200, colour.

Bottom: estimate of the meteor trajectory by triangulating the observations. The object became visible at an altitude of 117 km south-east of London, travelling north-west, and became invisible at an altitude of 85 km.

20211030_001706_fireball_AJS_430.jpg
20211030_001817_fireball_JMA.jpg
20211030_track.jpg
29 Oct 2021. A fireball in Aquarius.

Top: Alan. 21:18:30 - 21:19:30 UT, single 60 s exposure. ZWO ASI294 camera with 4.5 mm Sigma fisheye lens, f2.8, gain 300, colour, rotating shutter, 16 BPS 50/50 open/close.

Middle: James. 21:18:59 - 21:19:29 UT, single 30 s exposure. ZWO ASI 178MC with Fujinon 2.7 mm CF2.7HA-L1 fisheye lens, f1.8, gain 200, colour.

Bottom: estimate of the meteor trajectory by triangulating the observations. The object became visible at an altitude of 145 km above Dymchurch in Kent and descended north-west over Ashford, becoming invisible at an altitude of 107 km.

20211029_211830_fireball_AJS_321.jpg
20211029_211929_fireball_JMA.jpg
20211029_track.jpg
27 Sep 2021. De-orbit burn of the Landsat 9 launch vehicle.

Alan. 21:11:05 - 21:14:05 UT, three consecutive 60 s exposures. ZWO ASI294 camera with 4.5 mm Sigma fisheye lens, f2.8, gain 300, colour, rotating shutter.

Landsat 9, a joint project by NASA and the US Geological Survey, was launched from Vandenberg Air Base at 18:12 UT on 27 September 2021. The launch vehicle was a Centaur RL10 rocket, the upper stage of which ascended to an altitude of 679 km, released Landsat 9, then manoeuvred to a lower orbit, deployed four CubeSats (two military; two civilian), then finally employed a de-orbit burn to return into the atmosphere for a destructive re-entry over the Pacific Ocean.

Full report on the mission.

The de-orbit burn was also captured by cameras operated by other members of the Dutch Meteor Society.

20210927_211405_AJS_compilation.jpg
25 Sep 2021. A fireball in Eridanus (just below the Moon).

Alan. 00:31:34 - 00:32:04 UT, single 30 s exposure. ZWO ASI294 camera with 4.5 mm Sigma fisheye lens, f2.8, gain 250, colour, rotating shutter.

The fireball was also captured by cameras operated by Klaas Jobse (Oostkapelle) and Franky Dubois (Ieper) of the Dutch Meteor Society.

James observed the meteor visually and reported as follows. I was outside and saw the meteor, timing it at 00:32 UT with my wristwatch. The trajectory was on a path from the Square of Pegasus to Orion, below the Moon. I could see some structure, with a bright glow immediately surrounding the bolide, becoming fainter as the radial distance from the bolide increased, and a trail that was bright along the centre of the path and fainter towards the edges. The bolide and trail appeared white. All-in-all, a spectacular sight!

20210925_003204_AJS_673.jpg
16 Sep 2021. A fireball in Cygnus passes close to Deneb.

Top: Alan. 01:01:44 - 01:02:14 UT, single 30 s exposure. ZWO ASI294 camera with 4.5 mm Sigma fisheye lens, f2.8, gain 300, colour, rotating shutter.

Middle: James. 01:01:41 - 01:02:11 UT, single 30 s exposure. ZWO ASI 178MC with Fujinon 2.7 mm CF2.7HA-L1 fisheye lens, f1.8, gain 160, colour.

Bottom: estimate of the meteor trajectory by triangulating the observations. The object became visible at an altitude of 155 km and descended rapidly with a terminal flare at an altitude of 57 km. The track was west to east a few kilometres north of Cambridge.

Few fireball networks appear to have captured good images of the event. Alan's image shows structure in the terminal flare, including a bright "spike" possibly caused by ejection of material shortly before the object became invisible. Both images, when examined in detail, show structure in the trail possibly indicating a rotating bolide.

20210916_010214_fireball_AJS_417.jpg
20210916_010211_fireball_JMA.jpg
20210916_track.jpg
10 Sep 2021. A fireball in Pisces displays multiple flares.

Top: Alan. 00:21:24 - 00:21:54 UT, single 30 s exposure. ZWO ASI294 camera with 4.5 mm Sigma fisheye lens, f2.8, gain 300, colour, rotating shutter.

Next: Alan. Corresponding single 60 s exposure. Canon 1100D with "LensBaby" 5.8 mm, f3.5 lens (stopped down to f5.6), colour, no liquid crystal shutter.

Next: Martin. 20 s exposure. ZWO ASI120MM camera with ZWO fisheye lens, f1.2, gain 50, B&W. The camera cpatures only the initial part of the trail

Next: James. 00:21:25 - 00:21:55. Single 30 s exposure. ZWO ASI 178MC with Fujinon 2.7 mm CF2.7HA-L1 fisheye lens, f1.8, gain 200, colour.

Bottom: estimate of the meteor trajectory by triangulating the observations. The object became visible at an altitude of 141 km south-east of London, travelling east while descending, and became invisible at an altitude of 108 km.

20210910_002154_fireball_AJS_ASI194_959.jpg
20210910_fireball_AJS_C1100D_1312.jpg
20210910_002138_fireball_MRH.png
20210910_002155_fireball_JMA.jpg
20210910_track.jpg
03 Sep 2021. A very bright fireball imaged through clouds.

Alan. 03:38:06 - 03:38:36 UT, single 30 s exposure. ZWO ASI294 camera with 4.5 mm Sigma fisheye lens, f2.8, gain 300, colour, rotating shutter.

Zooming-in shows widely spaced breaks caused by the rotating shutter suggesting a high speed event. The fireball was also captured by cameras of the Dutch Meteor Society.

20210903_033836_fireball_AJS_910.jpg
10-16 Aug 2021.
Observations of Perseid meteor shower 2021.
09 Jun 2021. Noctilucent cloud is visible as a thin ribbon-like blue/white cloud just above the tree line to the north (top of image).

Alan. 21:37 UT, single 2 s exposure. Canon 1100D with 4.5 mm Sigma fisheye lens, f2.8, ISO 800, colour, no liquid crystal shutter.

20210609_2137_NC_AJS_6717.jpg
07 Jun 2021. A satellite passing through Cygnus leaves a distinctive trail with periodic bright dots. The latter are caused by the rotation of the body periodically bringing reflective panels into alignment to reflect sunlight.

Top: Alan. 23:54:52 - 23:55:52 UT, single 60 s exposure. Canon 1100D with 4.5 mm Sigma fisheye lens, f2.8, ISO 800, colour, no liquid crystal shutter.

Bottom: James. 23:54:29 - 23:55:29. Two consecutive 30 s exposures. ZWO ASI 178MC with Fujinon 2.7 mm CF2.7HA-L1 fisheye lens, f1.8, gain 200, colour.

20210607_235552_satellite_AJS_6314.jpg
20210607_235559_satellite_JMA.jpg
07 Jun 2021. Short, bright trails caused by at least 16 Starlink satellites.

Top: Alan. 23:21:52 - 23:26:52 UT, five consecutive 60 s exposures. Canon 1100D with 4.5 mm Sigma fisheye lens, f2.8, ISO 800, colour, no liquid crystal shutter.

Bottom: James. 23:21:33 - 23:26:37. Ten consecutive 30 s exposures. ZWO ASI 178MC with Fujinon 2.7 mm CF2.7HA-L1 fisheye lens, f1.8, gain 200, colour.

20210607_232652_Starlink_AJS_6283.jpg
20210607_232637_Starlink_JMA.jpg
07 Jun 2021. US military intelligence satellite NOSS3-6A (Navy Ocean Surveillance Satellite) leaves a double trail near Spica. The satellite comprises two co-orbiting vehicles.

Top: Alan. 22:59:31 - 23:01:31 UT, two consecutive 60 s exposures. Canon 1100D with 4.5 mm Sigma fisheye lens, f2.8, ISO 800, colour, no liquid crystal shutter.

Bottom: James. 22:59:16 - 23:02:18. Six consecutive 30 s exposures. ZWO ASI 178MC with Fujinon 2.7 mm CF2.7HA-L1 fisheye lens, f1.8, gain 200, colour.

20210607_230131_NOSS3-6A_AJS_6262.jpg
20210607_230218_NOSS3-6A_JMA.jpg
31 May 2021. A fireball streaks through Capricornus.

Top: James. The fireball passes between α and β Capricorni. 01:44:01 - 01:44:31 UT, single 30 s exposure. ZWO ASI 178MC with Fujinon 2.7 mm CF2.7HA-L1 fisheye lens, f1.8, gain 160, colour.

Middle: Alan: 01:44:21 - 01:44:28 UT. Video captured by an "eyeball" camera. While travelling through the atmosphere, the ionisation of the fireball and atmosphere produced a radio reflective layer which reflected distant radio transmissions back towards the Earth, enabling them to be received by suitable equipment. Chris Albins in Ipswich monitored reflections from a radio beacon at Dourbes in Belgium (the beacon is primarily used by the Belgian BRAMS network of receivers.) Chris synchronised his recording with Alan's video recording and added it as a sound track. (Note that the time in the the video is BST rather than UT.)

Bottom: trajectory calculated by members of the Dutch Meteor Society. The object entered the atmosphere at an altitude of 96.4 km travelling at about 15.8 km/s to the west of Arras (France). It reached a photometric magnitude of -10.8 (the full moon measures around -12.7) dropping to an altitude of 80.0 km south of Lille (France) before it entered "dark flight" and became invisible.

20210531_014431_fireball_JMA.jpg

20210531_track.jpg
23 Apr 2021. Two Lyrids close to the eastern horizon, the first in Aquarius and the second in Equuleus.

Top: Alan. 02:49:01 - 02:50:01 UT, single 60 s exposure. Canon 1100D with 4.5 mm Sigma fisheye lens, f2.8, ISO 400, colour, no liquid crystal shutter.

Second: James. 02:49:16 - 02:49:46 UT, single 30 s exposure. ZWO ASI 178MC with Fujinon 2.7 mm CF2.7HA-L1 fisheye lens, f1.8, gain 130, colour.

Third: Alan. 03:04:59 - 03:05:59 UT, single 60 s exposure. Canon 1100D with 4.5 mm Sigma fisheye lens, f2.8, ISO 400, colour, no liquid crystal shutter.

Bottom: James. 03:04:58 - 03:05:28 UT, single 30 s exposure. ZWO ASI 178MC with Fujinon 2.7 mm CF2.7HA-L1 fisheye lens, f1.8, gain 130, colour.

Members of the Dutch Meteor Society also observed the meteors, and triangulated the trajectory of the first as follows. The object entered the atmosphere at 112 km altitude at a speed of 48 km/s. It descended through the atmosphere, reaching a peak brightness of magnitude -11.9 and began dark flight at an altitude of 71 km altitude on the Dutch-German border near to Vlodrop.

20210423_025001_meteor_AJS_1550.jpg
20210423_024946_meteor_JMA.jpg
20210423_030559_meteor_AJS_1565.jpg
20210423_030528_meteor_JMA.jpg
06 Apr 2021. A fireball over south Wales creates a trail visible from Ipswich on the western horizon. The trail has a light green tinge. The event was captured by observers from as far west as County Clare, Eire. IMO report of the event.

Top: Alan. 01:18:41 - 01:19:41 UT, single 60 s exposure. Canon 1100D with 4.5 mm Sigma fisheye lens, f4.0, ISO 800, colour, no liquid crystal shutter.

Bottom: James. 01:18:47 - 01:19:02 UT, single 30 s exposure. ZWO ASI 178MC with Fujinon 2.7 mm CF2.7HA-L1 fisheye lens, f1.8, gain 200, colour.

20210406_011941_fireball_AJS_8492.jpg
20210406_011902_fireball_JMA.jpg
29 Mar 2021. A fireball in Hydra seen behind cloud, with much background glow from the Moon (nearby in Virgo, phase 99%, waning).

Alan. 23:09:32 - 23:10:32 UT, single 60 s exposure. Canon 1100D with 4.5 mm Sigma fisheye lens, f4.0, ISO 800, colour, no liquid crystal shutter.

Observers from the French "FRIPON" network of fisheye video cameras also observed the object, and concluded that its flight was over the English Channel, approximately as follows. It entered the atmosphere at 85 km altitude at a velocity of 29 km/s and with a photometric magnitude of -2.5. Maximum brightness of magnitude -7.5 was at 65 km altitude whilst travelling at around 28 km/s. The object "burned out" and began dark flight at about 45 km altitude travelling at 24 km/s.

Observers from the IMO also logged this event, and calculated a slightly different trajectory, using just eye witness reports.

20210329_231032_fireball_AJS_5945.jpg
21 Mar 2021. A fireball streaks by Arcturus.

Top: Alan. 22:25:43 - 22:26:32 UT, single 60 s exposure. Canon 1100D with 4.5 mm Sigma fisheye lens, f2.8, ISO 1600, colour, no liquid crystal shutter.

Bottom: the fireball was also observed across the Benelux countries. Members of the Dutch Meteor Society reduced the observations to estimate the trajectory of the object. It entered visible flight through the atmosphere at an altitude of about 85 km travelling at about 25 km/s, and entered dark flight, becoming invisible, at an altitude of about 35 km. Its maximum brightness was approximately magnitude -12.5 at an altitude of 48 km. (It was a bright event!)

20210321_222643_fireball_AJS_2570.jpg
20210321_track.jpg
13 Mar 2021. A fireball in Leo visible through thin cloud.

Top: Alan. 19:37:55 - 19:38:55 UT, single 60 s exposure. Canon 1100D with 4.5 mm Sigma fisheye lens, f2.8, ISO 1600, colour, no liquid crystal shutter.

Bottom: the fireball was also imaged from Oostkapelle (Netherlands). Using the two images, members of the Dutch Meteor Society reduced the observations to estimate the trajectory of the object. It became visible at an altitude of 74 km and descended at a velocity of 16  km/sec, entering dark flight and becoming invisible at an altitude of 38 km. The maximum photometric magnitude was -5.1, at an altitude of 43 km, so the object was not spectacularly bright. The path of the fireball ran directly between the two observing stations, providing ideal circumstances for triangulation.

20210313_193855_fireball_AJS_0054.jpg
20210313_track.jpg
04 Feb 2021. Nine trails created by satellites in similar orbits run close together through Lyra, Cygnus and Vulpecula. Although identification is not certain, the satellites are thought to be members of Starlink launch L16, placed in orbit on 20 January 2021.

Alan. 05:03 - 05:12 UT, stack of nine 60 s exposures. Canon 1100D with 4.5 mm Sigma fisheye lens, f2.8, ISO 1600, colour, liquid crystal shutter.

20210204_0512_Starlink_AJS.jpg
09 Jan 2021. A constellation of Starlink satellites coming to approximate alignment near λ Her creates a cluster of short, bright uneven tracks in a time exposure image.

James. 06:29:56 - 06:32:28 UT, stack of five 30 s exposures. ZWO ASI 178MC with Fujinon 2.7 mm CF2.7HA-L1 fisheye lens, f1.8, gain 200, colour.

Starlink satellites crossing the relevant area of sky around this time were numbers: 1835, 1883, 1944, 1832, 1851, 1882, 1798, 1908, 1893, 1899, 1929 and 1943.

20210109_063228_Starlink_JMA.jpg
06 Dec 2020. An unusual satellite trail in Cygnus.

Top: Alan. 17:54:35 - 17:55:35 UT, single 60 s exposure. Canon 1100D with 4.5 mm Sigma fisheye lens, f2.8, ISO 1600, colour, liquid crystal shutter.

Bottom: James. 17:54:32 - 17:55:32 UT, stack of two 30 s exposures. ZWO ASI 178MC with Fujinon 2.7 mm CF2.7HA-L1 fisheye lens, f1.8, gain 200, colour.

The many bright dots are likely caused by the object spinning rapidly as a means of providing stabilisation. A close-up of the trail from the two images, shown as an inset in the lower image, shows essentially zero parallax, indicating that the object is at considerable altitude (hundreds of km).

20201206_175535_satellite_AJS_6913.jpg
20201206_175532_satellite_JMA.jpg
28 Nov 2020. A very bright fireball in Ursa Major.

Alan. 20:10:27 - 20:11:27 UT, single 60 s exposure. Canon 1100D with 4.5 mm Sigma fisheye lens, f2.8, ISO 1600, colour, liquid crystal shutter.

The liquid crystal shutter chops the image to give an idea of the speed of the object and duration of visibility. The trail shows at least 30 "breaks" indicating a duration of at least three seconds. The image is seriously compromised by the very bright full moon and incoming fog.

20201128_201127_fireball_AJS.jpg
23 Nov 2020. A meteor in Auriga and Gemini displays a double terminal flare.

Top: Alan. 22:33:36 - 22:34:33 UT, single 57 s exposure. Canon 1100D with 4.5 mm Sigma fisheye lens, f2.8, ISO 1600, colour, liquid crystal shutter.

Bottom: James. 22:33:13 - 22:33:46 UT, single 30 s exposure. ZWO ASI 178MC with Fujinon 2.7 mm CF2.7HA-L1 fisheye lens, f1.8, gain 200, colour.

20201123_223433_meteor_AJS_0153.jpg
20201123_223346_meteor_JMA.jpg
23 Nov 2020. A fireball in Pisces.

Top: Alan. 00:48:22 - 00:49:19 UT, single 57 s exposure. Canon 1100D with 4.5 mm Sigma fisheye lens, f2.8, ISO 1600, colour, liquid crystal shutter.

Bottom: James. 00:49:03 - 00:49:33 UT, single 30 s exposure. ZWO ASI 178MC with Fujinon 2.7 mm CF2.7HA-L1 fisheye lens, f1.8, gain 200, colour.

20201123_004919_fireball_AJS_9477.jpg
20201123_004933_fireball_JMA.jpg
20 Nov 2020. A fireball in Virgo. The object was also observed by Benelux observers.

Top: Alan. 05:55:31 - 05:56:28 UT, single 57 s exposure. Canon 1100D with 4.5 mm Sigma fisheye lens, f2.8, ISO 1600, colour, liquid crystal shutter.

Bottom: James. 05:56:07 - 05:56:37 UT, single 30 s exposure. ZWO ASI 178MC with Fujinon 2.7 mm CF2.7HA-L1 fisheye lens, f1.8, gain 200, colour.

20201120_055628_fireball_AJS_8180.jpg
20201120_055637_fireball_JMA.jpg
20 Nov 2020. A fireball in Pisces.

Top: Alan. 01:19 - 01:20 UT, single 57 s exposure. Canon 1100D with 4.5 mm Sigma fisheye lens, f2.8, ISO 1600, colour, liquid crystal shutter.

Bottom: James. 01:20:03 - 01:20:33 UT, single 30 s exposure. ZWO ASI 178MC with Fujinon 2.7 mm CF2.7HA-L1 fisheye lens, f1.8, gain 200, colour.

20201120_0120_fireball_AJS_7908.jpg
20201120_012033_fireball_JMA.jpg
19 Nov 2020. The glow of a bright fireball is visible even through dense cloud.

Alan. 04:24:11 - 04:25:08 UT, single 57 s exposure. Canon 1100D with 4.5 mm Sigma fisheye lens, f2.8, ISO 1600, colour, liquid crystal shutter.

20201119_042508_fireball_AJS_7283.jpg
19 Nov 2020. A bright Leonid meteor.

Top: Alan. 01:55:08 - 01:56:05 UT, single 57 s exposure. Canon 1100D with 4.5 mm Sigma fisheye lens, f2.8, ISO 1600, colour, liquid crystal shutter.


Bottom: James. 01:55:27 - 01:55:57 UT, single 30 s exposure. ZWO ASI 178MC with Fujinon 2.7 mm CF2.7HA-L1 fisheye lens, f1.8, gain 200, colour.

20201119_015605_meteor_AJS_7136.jpg
20201119_015557_meteor_JMA.jpg
18 Nov 2020. A Leonid fireball creates an ionisation trail.

Alan. 03:23 UT, video constructed from 26 exposures of 57 s duration. Canon 1100D with 4.5 mm Sigma fisheye lens, f2.8, ISO 1600, colour, liquid crystal shutter.

The Leonid meteor shower occurs when the Earth passes through the dust trail created by comet Tempel-Tuttle. Leonid meteors are typically very fast, with an approach velocity of approximately 72 km/s. The video shows a bright flash lasting for about ½ second, leaving a slightly orange/brown ionisation train which drifts slowly up and to the left. The ionisation train is created when atoms of the atmosphere and meteor itself are ripped apart by the tremendous heat generated by friction as the object enters the atmosphere. Winds in the upper atmosphere cause the train to twist and disperse over a period of around 15 minutes. Observation was hampered by light cloud.

20201118_Leonid_AJS_6423.gif
16 Nov 2020. A sporadic meteor in Perseus.

Alan. 05:46:51 - 05:47:48 UT, single 57 s exposure. Canon 1100D with 4.5 mm Sigma fisheye lens, f2.8, ISO 1600, colour, liquid crystal shutter.

20201116_054748_meteor_AJS_5774.jpg
12 Nov 2020. A fireball in Cetus.

Alan. 22:20:40 - 22:21:37 UT, single 57 s exposure. Canon 1100D with 4.5 mm Sigma fisheye lens, f2.8, ISO 1600, colour, liquid crystal shutter.

The fireball was also imaged by cameras operated by members of the Dutch Meteor Society (DMS) in Oostduinkirke and Ieper. Members of DMS reduced the observations to give the following description of the trajectory: the meteor entered the atmosphere at about 80 km altitude and, after reaching a velocity of around 29 km/s, was seen at about magnitude -4, finally entering the dark phase of flight at about 45 km altitude. The object was a member of the Taurid group of meteors. The green colour of the meteor trail is genuine and probably caused by the ionisation of nickel on the surface of the object.

20201112_222137_fireball_AJS_4701.jpg
07 Nov 2020. A fireball in Puppis.

Top: Alan. 03:39:23 - 03:40:20 UT, single 57 s exposure. Canon 1100D with 4.5 mm Sigma fisheye lens, f2.8, ISO 1600, colour, liquid crystal shutter.

Bottom: James. 03:40:07 - 03:40:37 UT, single 30 s exposure. ZWO ASI 178MC with Fujinon 2.7 mm CF2.7HA-L1 fisheye lens, f1.8, gain 200, colour.

The object was also observed by members of the Dutch Meteor Society, who reported as follows:

20201107_034020_fireball_AJS_2850.jpg
20201107_034037_fireball_JMA.jpg
25 Oct 2020. A spectacular fireball in Cetus.

James. 04:06:28 - 04:06:58 UT, single 30 s exposure. ZWO ASI 178MC with Fujinon 2.7 mm CF2.7HA-L1 fisheye lens, f1.8, gain 200, colour.

The night of 24-25 October did not start promisingly, with dense cloud and rain until almost 04:00 UT. However, conditions then improved sufficiently to enable the fireball to be captured. It was also observed by observers in Pleumeur-Bodou (France), Honiton, Manchester and Cardiff. (The apparent dimples in the image are raindrops on the dome of the camera.)

20201025_040658_fireball_JMA.jpg
10 Oct 2020. A suspected meteor in Cassiopeia.

Alan. 19:12 - 19:13 UT, single 57 s exposure. Canon 1100D with 4.5 mm Sigma fisheye lens, f2.8, ISO 1600, colour, liquid crystal shutter.

20201010_1913_meteor_AJS_0378.jpg
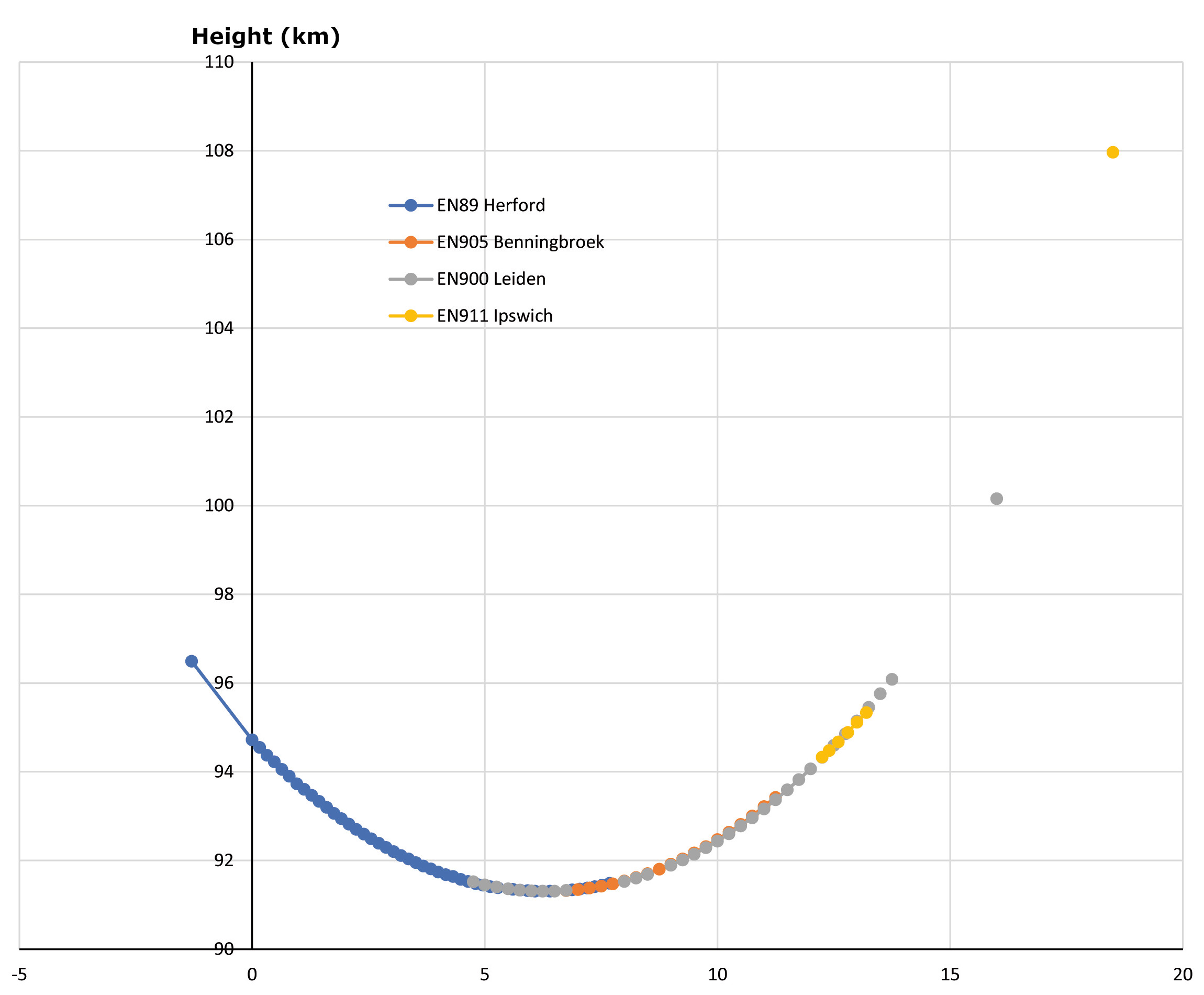
22 Sep 2020. An Earth-grazing meteor leaves a trail stretching almost from horizon to horizon.

Top: Alan. 03:52:48 - 03:54:45 UT, stack of two consecutive 57 s exposures. Canon 1100D with 4.5 mm Sigma fisheye lens, f2.8, ISO 1600, colour, liquid crystal shutter.

Next: James. 03:53:21 - 03:54:21 UT, stack of two consecutive 30 s exposures. ZWO ASI 178MC with Fujinon 2.7 mm CF2.7HA-L1 fisheye lens, f1.8, gain 200, colour.

The object, thought to be approximately one centimetre in diameter, briefly entered the Earth's upper atmosphere and bounced off the lower, denser layers without significantly decelerating. Such behaviour is comparatively rare.

The object was also observed by Benelux observers, one of whom, Hans Betlem, analysed the results and reported as follows:

Next: meteor path, calculated by Hans.

Bottom: height profile, also calculated by Hans.

20200922_035345_Earth_grazing_AJS_6592.jpg
20200922_035421_Earth_grazing_JMA.jpg
20200922_track.jpg
20200922_height_profile.jpg
12 Sep 2020. A bright meteor in Pegasus.

Top: Alan. 00:25:25 - 00:26:22 UT, single 57 s exposure. Canon 1100D with 4.5 mm Sigma fisheye lens, f2.8, ISO 1600, colour, liquid crystal shutter.

Bottom: James. 00:25:44 - 00:26:14 UT, single 30 s exposure. ZWO ASI 178MC with Fujinon 2.7 mm CF2.7HA-L1 fisheye lens, f1.8, gain 200, colour. An aircraft trail crosses the meteor track.

20200912_002622_fireball_AJS_1063.jpg
20200912_002614_fireball_JMA.jpg
07 Sep 2020. A meteor in Aquarius, partially obscured by cloud.

Top: Alan. 02:20:46 - 02:21:43 UT, single 57 s exposure. Canon 1100D with 4.5 mm Sigma fisheye lens, f2.8, ISO 1600, colour, liquid crystal shutter. Due to cloud, only the terminal flare of the meteor is visible. By way of compensation, the cloud has caused the formation of a lunar halo!

Bottom: James. 02:21:12 - 02:21:42 UT, single 30 s exposure. ZWO ASI 178MC with Fujinon 2.7 mm CF2.7HA-L1 fisheye lens, f1.8, gain 200, colour. In the subsequent frame, starting at 02:21:42 UT, there is a very short track following the terminal flare, before the object began dark flight. The inset shows, L-R, the meteor trail up to the terminal flare, with a blue line indicating the trajectory, the meteor trail after the terminal flare, with a red line indicating the trajectory, and a superposition of the trajectories, showing that they diverge, indicating that the post-flare trail is caused by a small piece of debris ejected at an angle to the original trajectory during the terminal flare. It was fortuitous that the camera transitioned frames immediately after the terminal flare: had it not done so, the post-flare trail would have been lost in the glare of the flare.

20200907_022143_meteor_AJS_8802.jpg
20200907_022142_meteor_JMA.jpg
28 Jul - 13 Aug 2020.
Observations of Perseid meteor shower 2020.
04 Aug 2020. In the dawn twilight, a meteor streaks through Aries and exhibits a terminal flare in Cetus.

Alan. 03:03:53 - 03:04:50 UT, single 57 s exposure. Canon 1100D with 4.5 mm Sigma fisheye lens, f2.8, ISO 1600, colour, liquid crystal shutter.

20200804_030450_meteor_AJS_8411.jpg
21 Jul 2020. Satellites in approximately parallel orbits display twin trails.

James. 01:43:08 - 01:44:29 UT, stack of three consecutive 30 s exposures. ZWO ASI 178MC with ZWO fisheye lens, f1.2, gain 200, colour.

Alan also recorded the object in an image timed 01:43 - 01:44 UT, and recorded a similar pair of widely-spaced tracks in Serpens Cauda on 19 July in a frame timed 22:12 - 22:13 UT.

20200721_014439_wide_dual_sat_JMA.jpg
21 Jul 2020. A fireball in Aquila displays three minor flares and a bright terminal flare.

James. 00:10:24 - 00:10:54 UT, single 30 s exposure. ZWO ASI 178MC with ZWO fisheye lens, f1.2, gain 200, colour.

20200721_001054_meteor_JMA.jpg
11 Jul 2020. The ISS (International Space Station) makes a spectacular passage through the Summer Triangle (Deneb, Altair, Vega) while comet C2020 F3 (NEOWISE) is visible on the northern horizon.

Alan. 00:39 - 00:40 UT, single 58 s exposure. Canon 1100D with 4.5 mm Sigma fisheye lens, f2.8, ISO 1600, colour, liquid crystal shutter.

20200711_ISS+C2020F3_AJS_3826.jpg
16 Jun 2020. American twin surveillance satellites NOSS (Naval Ocean Surveillance System) 3-1A betray their presence by a spectacular flare in Hercules.

James. 23:29:50 - 23:30:51 UT, stack of two consecutive 30 s exposures. ZWO ASI 178MC with ZWO fisheye lens, f1.2, gain 200, colour.

Alan also imaged the flare: there was minimal parallax between the two images, indicating that the satellite was at an orbital altitude of many hundred km. Zooming into the image reveals traces of a secondary track, although it is largely drowned out by the flare. (See below images taken 23 August 2019 and 15 May 2019.)

20200616_233051_NOSS3-1A_JMA.jpg
08 May 2020. A meteor through Boötes and Virgo.

Top: Alan. 23:41:34 - 23:42:32 UT, single 58 s exposure. Canon 1100D with 4.5 mm Sigma fisheye lens, f2.8, ISO 1600, colour, liquid crystal shutter.

Bottom: James. 23:41:09 - 23:42:09 UT, single 60 s exposure. ZWO ASI 178MC with ZWO fisheye lens, f1.2, gain 150, colour.

Unfortunately, considerable glare from a gibbous Moon created a very bright sky, with too few stars visible to attempt to triangulate the trajectory of the body from the two images.

20200508_234232_fireball_AJS_9141.jpg
20200508_234209_fireball_JMA.jpg
23 Apr 2020. An unidentified object appears as a string of pink dots. There are similarities to the object imaged on 17 Feb 2020 (see below).

Alan. 02:41 - 02:42 UT, single 58 s exposure. Canon 1100D with 4.5 mm Sigma fisheye lens, f2.8, ISO 1600, colour, liquid crystal shutter.

20200423_0242_allsky_AJS_4709.jpg
10 Apr 2020. A double satellite trail in the sickle of Leo.

Alan. 22:29 - 22:30 UT, single 58 s exposure. Canon 1100D with 4.5 mm Sigma fisheye lens, f2.8, ISO 1600, colour, liquid crystal shutter.

20200410_2230_allsky_AJS_1016.jpg
24 Mar 2020. A meteor in Leo.

Top: Alan. 02:31:55 - 02:32:53 UT, single 58 s exposure. Canon 1100D with 4.5 mm Sigma fisheye lens, f2.8, ISO 800, colour, liquid crystal shutter.

Middle: James. 02:32:24 - 02:32:54 UT, single 30 s exposure. ZWO ASI 178MC with ZWO fisheye lens, f1.2, gain 200, colour.

Bottom: estimate of the meteor track over the English channel and southern England, descending from 88 km to 40 km.

20200324_023253_meteor_AJS_3292.jpg
20200324_023254_meteor_JMA.jpg
20200324_023254_track.jpg
23 Mar 2020. The ISS (International Space Station) makes a spectacular passage from west to east across the sky.

James. 19:37:33 - 19:42:07 UT, stack of ten consecutive 30 s exposures. ZWO ASI 178MC with ZWO fisheye lens, f1.2, gain 200, colour.

20200323_194207_ISS_JMA.jpg
23 Mar 2020. A fireball in Cygnus with a terminal flare. The trail exhibits a pronounced green colour.

Alan. 00:19:27 - 00:20:25 UT, single 58 s exposure. Canon 1100D with 4.5 mm Sigma fisheye lens, f2.8, ISO 1600, colour, liquid crystal shutter.

20200323_002025_fireball_AJS_2524.jpg
20 Mar 2020. A rotating satellite creates a trail of bright dots on the boundary between Triangulum and Aries.

James. 19:18:27 - 19:19:27 UT, stack of two consecutive 30 s exposures. ZWO ASI 178MC with ZWO fisheye lens, f1.2, gain 200, colour.

20200320_191927_allsky_JMA.jpg
17 Mar 2020. A slow-moving satellite leaves a short trail in southern Boötes over a period of approximately two minutes. The object is visible in five consecutive exposures.

James. 00:22:14 - 00:24:45 UT, stack of five consecutive 30 s exposures. ZWO ASI 178MC with ZWO fisheye lens, f1.2, gain 200, colour.

20200317_002445_allsky_JMA.jpg
13 Mar 2020. A bright fireball in Orion, with a terminal flare, is visible behind light cloud.

Top: Alan. 19:34:27 - 19:35:25 UT, single 58 s exposure. Canon 1100D with 4.5 mm Sigma fisheye lens, f2.8, ISO 800, colour, liquid crystal shutter. The latter imposed only two breaks in the trail, implying that the object was fast-moving.

Bottom: James. 19:34:17 - 19:34:47 UT, single 30 s exposure. ZWO ASI 178MC with ZWO fisheye lens, f1.2, gain 200, colour.

Cloud and lack of stars visible in the vicinity prevented a triangulation from being carried out.

20200313_1935_fireball_AJS_9714.jpg
20200313_193447_fireball_JMA.jpg
12 Mar 2020. A double satellite trail in Monoceros.

Top: Alan. 19:59 - 20:00 UT, single 58 s exposure. Canon 1100D with 4.5 mm Sigma fisheye lens, f2.8, ISO 800, colour, liquid crystal shutter.

Bottom: James. 19:59:51 - 20:00:51 UT, stack of two consecutive 30 s exposures. ZWO ASI 178MC with ZWO fisheye lens, f1.2, gain 200, colour.

20200312_2000_allsky_AJS_9131.jpg
20200312_200051_allsky_JMA.jpg
09 Mar 2020. In a sky illuminated by a full moon, the ISS creates a bright trail passing from Serpens Caput through Ophiuchus into Aquila.

James. 04:20:20 - 04:22:21 UT, stack of four consecutive 30 s exposures. ZWO ASI 178MC with ZWO fisheye lens, f1.2, gain 200, colour.

20200309_042221_ISS_JMA.jpg
07 Mar 2020. First light of the camera with acrylic dome in place of the clock-glass used previously. A streak with an apparent terminal flare passes through Cepheus, but is it unclear whether it is due to a satellite or a meteor.

Alan. 04:07 - 04:08 UT, single 58 s exposure. Canon 1100D with 4.5 mm Sigma fisheye lens, f2.8, ISO 3200, colour, liquid crystal shutter.

20200307_0408_allsky_AJS_7961.jpg
03 Mar 2020. A bright satellite flare in Hercules.

James. 04:54:11 - 04:55:11 UT, stack of two consecutive 30 s exposures. ZWO ASI 178MC with ZWO fisheye lens, f1.2, gain 200, colour.

20200303_045511_allsky_JMA.jpg
02 Mar 2020. Part of a very bright meteor trail on the eastern horizon.

James. 23:37:37 - 23:38:07 UT, single 30 s exposure. ZWO ASI 178MC with ZWO fisheye lens, f1.2, gain 200, colour.

The trail was not imaged by Alan due to obstructions to his view east.

20200302_233807_fireball_JMA.jpg
28 Feb 2020. The passage of a Starlink constellation across the sky.

Alan. 05:09 - 05:10 UT, 58 s exposure. Canon 1100D with 4.5 mm Sigma fisheye lens, f2.8, ISO 3200, colour, liquid crystal shutter.

The trail is barely visible due to thin cloud. The complete passage lasted from 05:08 to 05:17 UT.

20200228_0510_allsky_AJS_5396.jpg
20 Feb 2020. A bright flare in Perseus caused by the satellite USA 238 and co-orbiting debris.

Alan. 21:33 - 21:35 UT, stack of two consecutive 58 s images. Canon 1100D with 4.5 mm Sigma fisheye lens, f2.8, ISO 3200, colour, liquid crystal shutter.

20200220_2135_allsky_composite_AJS_2857.jpg
17 Feb 2020. An unidentified object leaves a trail of pink dots, the trail appearing broken because of the action of the liquid crystal shutter.

Alan. 05:54:29 - 05:55:27 UT, 58 s exposure. Canon 1100D with 4.5 mm Sigma fisheye lens, f2.8, ISO 3200, colour, liquid crystal shutter.

Similar trails, although shorter, were captured on subsequent nights.

20200217_055527_allsky_AJS_0619.jpg
17 Feb 2020. A fireball in Cygnus.

Alan. 04:51:59 - 04:52:57 UT, single 58 s exposure. Canon 1100D with 4.5 mm Sigma fisheye lens, f2.8, ISO 3200, colour, liquid crystal shutter.

The object was also imaged by Benelux observers, who estimated the trail at magnitude -1 and the terminal flare at magnitude -2.

20200217_045257_fireball_AJS_0557.jpg
16 Feb 2020.

Alan. 21:51:39 - 21:52:37 UT, 58 s exposure. Canon 1100D with 4.5 mm Sigma fisheye lens, f2.8, ISO 3200, colour, liquid crystal shutter.

20200216_215237_fireball_AJS_0140.jpg
11 Feb 2020. A satellite creates a bright flare.

Alan. 04:51 - 04:52 UT, 58 s exposure. Canon 1100D with 4.5 mm Sigma fisheye lens, f2.8, ISO 6400, colour, liquid crystal shutter.

20200211_0452_allsky_AJS_0967.jpg
11 Feb 2020. A satellite manifests itself as a bright dot.

Alan. 02:57 - 02:58 UT, single 58 s exposure. Canon 1100D with 4.5 mm Sigma fisheye lens, f2.8, ISO 6400, colour, liquid crystal shutter.

20200211_0258_allsky_AJS_0854.jpg
06 Feb 2020. A faint meteor in Lepus.

Alan. 19:22:59 - 19:23:57 UT, single 58 s exposure. Canon 1100D with 4.5 mm Sigma fisheye lens, f2.8, ISO 3200, colour, liquid crystal shutter.

20200206_192357_meteor_AJS_0099.jpg
06 Feb 2020. A fireball leaves a trail through Canes Venatici.

Top: Alan. 01:47:11 - 01:48:09 UT, single 58 s exposure. Canon 1100D with 4.5 mm Sigma fisheye lens, f2.8, ISO 800, colour. The trail appears segmented by the LCD light gate recently fitted to the camera.

Bottom: James. 01:47:33 - 01:48:03 UT, single 30 s exposure. ZWO ASI 178MC with ZWO fisheye lens, f1.2, gain 200, colour.

Cloud and lack of stars visible in the vicinity prevented a triangulation.

20200206_014809_fireball_AJS_0195.jpg
20200206_014803_fireball_JMA.jpg
03 Feb 2020. A faint meteor in Cygnus - just above the level of detection.

Alan. 03:40 - 03:41 UT, single 58 s exposure. Canon 1100D with 4.5 mm Sigma fisheye lens, f2.8, ISO 3200, colour, liquid crystal shutter.

20200203_0341_allsky_AJS_0639.jpg
19 Jan 2020. The Japanese ALOS (Advanced Land Observing Satellite) creates a flare in Boötes. The flare would have been even more conspicuous were it not for glare from the Moon (phase 31%, waning) to the south.

James. 05:11:26 - 05:11:56 UT, single 30 s exposure. ZWO ASI 178MC with ZWO fisheye lens, f1.2, gain 200, colour.

20200119_051156_allsky_JMA.jpg
18 Jan 2020. A meteor in Hydra.

Top: Alan. 23:31:19 - 23:32:17 UT, single 58 s exposure. Canon 1100D with 4.5 mm Sigma fisheye lens, f2.8, ISO 800, colour.

Middle: James. 23:32:05 - 23:32:35 UT, single 30 s exposure. ZWO ASI 178MC with ZWO fisheye lens, f1.2, gain 200, colour.

Bottom: estimates of the meteor track over the northern France. Yellow: triangulation of James's and Alan's observations shows a descent from 96 km to the terminal flare at 54 km. Blue: triangulation of Alan's observation with one from a Benelux observer shows a notably different track with a descent from 90 km to 69 km. The baseline between James and Alan is too short for accurate triangulation, so the blue estimate should be the more accurate of the two.

20200118_233217_fireball_AJS_7662.jpg
20200118_233235_fireball_JMA.jpg
20200118_233235_track.jpg
07 Jan 2020. A bright meteor streaks through Ursa Major and Canes Venatici.

Top: Alan. 06:16 - 06:17 UT, single 58 s exposure. Canon 1100D with 4.5 mm Sigma fisheye lens, f2.8, ISO 800, colour.

Middle: James. 06:16:44 - 06:17:14 UT, single 30 s exposure. ZWO ASI 178MC with ZWO fisheye lens, f1.2, gain 200, colour.

Bottom: triangulated path of the meteor over Suffolk, descending from an altitude of 78 km to 68 km.

20200107_0617_fireball_AJS_4391.jpg
20200107_061714_fireball_JMA.jpg
20200107_061714_track.jpg
04 Jan 2020. A second meteor of the night, this time in Coma Berenices and with sufficiently many stars visible to enable triangulation of the trajectory.

Top: Alan. 04:59:02 - 05:00:00 UT, single 58 s exposure. Canon 1100D with 4.5 mm Sigma fisheye lens, f2.8, ISO 800, colour.

Middle: James. 04:59:19 - 04:59:49 UT, single 30 s exposure. ZWO ASI 178MC with ZWO fisheye lens, f1.2, gain 200, colour.

Bottom: triangulated path of the meteor NE to SW off the coast of Essex, descending from 91 km to 79 km.

20200104_0459_fireball_AJS_3326.jpg
20200104_045949_fireball_JMA.jpg
20200104_045949_track.jpg
04 Jan 2020. A fireball in Virgo, close to the first magnitude star Spica.

James. 04:11:43 - 04:12:13 UT, single 30 s exposure. ZWO ASI 178MC with ZWO fisheye lens, f1.2, gain 200, colour.

Unfortunately, the area of the sky was behind considerable cloud. The meteor was also captured by Alan (behind cloud), by a member of the Benelux meteor group (no cloud) and by others. There were too few background stars visible through the cloud to enable triangulation.

20200104_041213_fireball_JMA.jpg
01 Jan 2020. Components of a bright "double dot" satellite in Hydra display contrasting blue and gold colours.

James. 06:41:44 - 06:42:14 UT, single 30 s exposure. ZWO ASI 178MC with ZWO fisheye lens, f1.2, gain 200, colour.

20200101_064214_allsky_JMA.jpg
23 Dec 2019. A faint meteor in Corvus, only just visible above the background sky-glow.

Alan. 05:22 - 05:23 UT, single 58 s exposure. Canon 1100D with 4.5 mm Sigma fisheye lens, f2.8, ISO 800, colour.

20191223_0508_fireball_AJS_8729.jpg
04 Dec 2019. A second meteor of the night, this time confirmed, leaves a short trail just west of Leo.

Top: Alan. 03:24:17 - 03:25:15 UT, single 58 s exposure. Canon 1100D with 4.5 mm Sigma fisheye lens, f2.8, ISO 800, colour.

Middle: James. 03:24:51 - 03:25:21 UT, single 30 s exposure. ZWO ASI 178MC with ZWO fisheye lens, f1.2, gain 200, colour.

Bottom: triangulated path of the meteor over France and the North Sea showing a descent from 216 km to 60 km. The baseline between James and Alan is too short for accurate triangulation, so the results should be regarded as broadly indicative. The estimated initial altitude is much higher than that at which a meteor would typically start ablating.

20191204_0325_fireball_AJS_2677.jpg
20191204_032521_fireball_JMA.jpg
20191204_032521_track.jpg
04 Dec 2019. A suspected meteor in Coma Berenices. Unfortunately, significant field distortions at the edges of the images prevented a triangulation from being carried out.

Top: Alan. 3:13:12 - 03:14:10 UT, single 57 s exposure. Canon 1100D with 4.5 mm Sigma fisheye lens, f2.8, ISO 800, colour.

Bottom: James. 03:13:12 - 03:13:42 UT, single 30 s exposure. ZWO ASI 178MC with ZWO fisheye lens, f1.2, gain 200, colour.

20191204_031410_fireball_AJS_2666.jpg
20191204_031342_fireball_JMA.jpg
03 Dec 2019. A bright satellite flare in Hydra.

James. 05:54:26 - 05:55:57 UT, stack of three consecutive 30 s exposures. ZWO ASI 178MC with ZWO fisheye lens, f1.2, gain 200, colour.

The imaging run overnight on 02-03 December 2019 was the first successful all-night run of the camera with software tailored to the task in hand (a full rewrite of Thomas Jacquin's excellent code used formerly).

20191203_055557_allsky_JMA.jpg
02 Dec 2019. An Iridium satellite flare in Cepheus.

Alan. 17:41 - 17:42 UT, single 57 s exposure. Canon 1100D with 4.5 mm Sigma fisheye lens, f2.8, ISO 800, colour.

20191202_1742_allsky_AJS_1346.jpg
19 Nov 2019. A faint meteor in Virgo.

Alan. 05:53:47 - 05:54:45 UT, single 57 s exposure. Canon 1100D with 4.5 mm Sigma fisheye lens, f2.8, ISO 800, colour.

20191119_0554_meteor_AJS_7569.jpg
17 Nov 2019. A bright trail near the northern horizon. Whether it is due to a meteor or a satellite is uncertain.

Alan. circa 04:55 UT, single 57 s exposure. Canon 1100D with 4.5 mm Sigma fisheye lens, f2.8, ISO 800, colour.

20191117_0455_allsky_AJS_6608.jpg
07 Nov 2019. A bright fireball in Perseus shows flares in its trail.

Alan. 03:53 - 03:54 UT, single 57 s exposure. Canon 1100D with 4.5 mm Sigma fisheye lens, f2.8, ISO 800, colour.

20191107_0354_fireball_AJS_4203.jpg
28 Oct 2019 A bright satellite flare in Gemini.

James. 04:24:13 - 04:25:13 UT, stack of two consecutive 30 s exposures. ZWO ASI 178MC with ZWO fisheye lens, f1.2, gain 200, colour.

20191028_042513_allsky_JMA.jpg
28 Oct 2019. The second fireball of the morning crossed the boundary between Leo and Lynx and produced a terminal flare.

Top: Alan. 02:11:53 - 02:12:50 UT, single 57 s exposure. Canon 1100D with 4.5 mm Sigma fisheye lens, f2.8, ISO 800, colour.

Middle: James. 02:12:32 - 02:13:02 UT, single 30 s exposure. ZWO ASI 178MC with ZWO fisheye lens, f1.2, gain 200, colour.

Bottom: estimates of the meteor track over the North Sea. Yellow: triangulation of observations by James and Alan shows a descent from 113 km altitude to the terminal flare at 102 km. Blue: triangulation of observations by Alan and a Benelux observer shows a descent from approximately the same starting point but on a different trajectory and with the terminal flare at 87 km altitude. The baseline between James and Alan is too short for accurate triangulation, so the blue estimate should be the more accurate of the two. Benelux observers estimated the trail at magnitude -3 and the terminal flare at magnitude -6.

20191028_021250_fireball_AJS_0507.jpg
20191028_021301_fireball_JMA.jpg
20191028_021301_track.jpg
28 Oct 2019. A suspected fireball in Cetus shows brightness variations in its trail.

Top: Alan. circa 00:44 UT, single 57 s exposure. Canon 1100D with 4.5 mm Sigma fisheye lens, f2.8, ISO 800, colour.

Bottom: James. 00:43:23 - 00:43:53 UT, single 30 s exposure. ZWO ASI 178MC with ZWO fisheye lens, f1.2, gain 200, colour.

Although imaged by both Alan and James, there were too few stars visible in the vicinity to enable a triangulation to be performed.

20191028_0044_fireball_AJS_0419.jpg
20191028_004353_fireball_JMA.jpg
03 Oct 2019. A satellite creates a bright dot in Taurus.

James. 04:28:34 - 04:29:04 UT, single 30 s exposure. ZWO ASI 178MC with ZWO fisheye lens, f1.2, gain 200, colour.

20191003_042904_allsky_JMA.jpg
19 Sep 2019. A fireball crosses from Cassiopeia into Cepheus.

Top: Alan, 00:47 - 00:49 UT, single 81 s exposure. Canon 1100D with 4.5 mm Sigma fisheye lens, f2.8, ISO 800, colour.

Middle: James, 00:48:46 - 00:48:56 UT, single 30 s exposure. ZWO ASI 178MC with ZWO fisheye lens, f1.2, gain 200, colour.

Bottom: triangulated path south to north over Suffolk and Norfolk, dropping from an initial altitude of 104 km to a final altitude of 92 km. Initially, the object was classified as a satellite; however, the triangulation showed it to be a fireball. (A satellite could not orbit at an altitude of circa 100 km due to the atmospheric drag that it would experience.)

20190919_0049_fireball_AJS_1647.jpg
20190919_004846_fireball_JMA.jpg
20190919_004846_track.jpg
18 Sep 2019. A satellite trail in Ursa Major shows a double peak in brightness.

Alan. 03:54 - 03:56 UT, single 81 s exposure. Canon 1100D with 4.5 mm Sigma fisheye lens, f2.8, ISO 800, colour.

20190918_0356_allsky_AJS_1407.jpg
05 Sep 2019. A satellite trail in Andromeda.

Alan. circa 03:16 UT, single 81 s exposure. Canon 1100D with 4.5 mm Sigma fisheye lens, f2.8, ISO 800, colour.

20190905_0316_allsky_AJS_9548.jpg
04 Sep 2019. A fireball in Aquarius.

Alan. 20:07 - 20:09 UT, single 81 s exposure. Canon 1100D with 4.5 mm Sigma fisheye lens, f2.8, ISO 800, colour.

20190904_2009_fireball_AJS_9245.jpg
03 Sep 2019. A satellite streak and bright flare in Aries.

James. 02:48:39 - 02:49:09 UT, single 30 s exposure. ZWO ASI 178MC with ZWO fisheye lens, f1.2, gain 200, colour.

20190903_024909_allsky_JMA.jpg
31 Aug 2019. A fireball in Lyra.

Top: Alan, 21:49 - 21:50 UT, single 81 s exposure. Canon 1100D with 4.5 mm Sigma fisheye lens, f2.8, ISO 800, colour.

Middle: James, 21:49:46 - 21:50:16 UT, single 30 s exposure. ZWO ASI 178MC with ZWO fisheye lens, f1.2, gain 200, colour.

Bottom: triangulated path north to south over Suffolk, dropping from an initial altitude of 125 km to a final altitude of 79 km.

20190831_2150_fireball_AJS_8616.jpg 20190831_215016_allsky_JMA.jpg
20190831_215016_track.jpg
29 Aug 2019. A fireball in Ophiuchus with a modest terminal flare.

Top: Alan, 20:15:44 - 20:17:00 UT, single 76 s exposure. Canon 1100D with 4.5 mm Sigma fisheye lens, f2.8, ISO 800, colour.

Middle: James, 20:15:39 - 20:16:09 UT, single30 s exposure. ZWO ASI 178MC with ZWO fisheye lens, f1.2, gain 200, colour.

Bottom: triangulated path north to south over Kent, dropping from an initial altitude of 84 km to a final altitude of 77 km.

20190829_201700_fireball_AJS_7841.jpg
20190829_201639_fireball_JMA.jpg
20190829_201639_track.jpg
27 Aug 2019. A fireball in Camelopardalis.

Alan. 23:17 - 23:19 UT, single 76 s exposure. Canon 1100D with 4.5 mm Sigma fisheye lens, f2.8, ISO 800, colour.

20190827_2319_fireball_AJS_7622.jpg
26 Aug 2019. A rotating satellite creates two bright dots in Cygnus.

Alan. 23:24 - 23:25 UT, single 76 s exposure. Canon 1100D with 4.5 mm Sigma fisheye lens, f2.8, ISO 800, colour.

20190826_2325_allsky_AJS_7283.jpg
24 Aug 2019. Two satellites. One, in Sagittarius (yellow), appears in only one frame. The other (red) travelled slowly through Cygnus in five consecutive frames.

Alan. 20:50 - 20:57 UT, stack of five consecutive 76 s exposures. Canon 1100D with 4.5 mm Sigma fisheye lens, f2.8, ISO 800, colour.

20190824_2057_allsky_composite_AJS_6463.jpg
23 Aug 2019. Twin surveillance satellites NOSS (Naval Ocean Surveillance System) 3-4a and 3-4c betray their presence by a double trail in Pisces. (See also image taken 15 May 2019.)

Top: Alan. 01:20 - 01:21 UT, single 150 s exposure. Canon 1100D with 4.5 mm Sigma fisheye lens, f2.8, ISO 800, colour.

Bottom: James. 01:20:21 - 01:21:21 UT, stack of three consecutive 20 s exposures. ZWO ASI 178MC with ZWO fisheye lens, f1.2, gain 200, colour.

20190823_0121_allsky_AJS_5973.jpg
20190823_012141_allsky_JMA.jpg
20 Aug 2019. A helicopter creates a very distinctive trail!

James. 01:33:30 - 01:33:50 UT, single 20 s exposure. ZWO ASI 178MC with ZWO fisheye lens, f1.2, gain 200, colour.

20190820_013350_helicopter_JMA.jpg
08-13 Aug 2019.
Observations of Perseid meteor shower 2019.
25 Jul 2019. A fireball in Cassiopeia exhibits a bright terminal flare.

Alan. 00:02 - 00:03 UT, single 57 s exposure. Canon 1100D with 4.5 mm Sigma fisheye lens, f2.8, ISO 800, colour.

20190725_0003_fireball_AJS_0499.jpg
21 Jul 2019. A dual satellite streak in Capricornus. This was the first bright satellite captured by the ZWO camera. The image is compromised by glare from a bright Moon (phase 85%, waning).

James. 00:44:56 - 00:45:16 UT, single 20 s exposure. ZWO ASI 178MC with ZWO fisheye lens, f1.2, gain 200, colour.

20190721_014517_allsky_JMA_500.jpg
18 Jul 2019. A fireball passing from Cygnus into Lacerta exhibits a bright terminal flare. The event was almost clouded out.

Alan. 23:58 - 23:59 UT, single 57 s exposure. Canon 1100D with 4.5 mm Sigma fisheye lens, f4, ISO 800, colour.

20190718_2359_fireball_AJS_8968.jpg
15 May 2019. A SpaceX Starlink satellite is visible as a faint trail of varying brightness. (A fragment of a second trail can be seen at the right hand end of and slightly above the first.)

Alan. 00:57 - 00:59 UT, single 150 s exposure. Canon 1100D with 4.5 mm Sigma fisheye lens, f2.8, ISO 800, colour.

20190526_2310_starlink_AJS_5796.jpg
15 May 2019. Twin surveillance satellites NOSS (Naval Ocean Surveillance System) 3-4a and 3-4c betray their presence by a double trail. (See also image taken 23 Aug 2019.)

Alan. 00:57 - 00:59 UT, single 150 s exposure. Canon 1100D with 4.5 mm Sigma fisheye lens, f2.8, ISO 800, colour.

20190515_0059_allsky_AJS_5276.jpg
14 May 2019. A passage of the International Space Station (ISS), with a much fainter accompanying trail created by a Russian SL-4 rocket body. The magnitudes are respectively -4.0 and +1.9.

Top: Alan. 01:09:24 - 01:11:25 UT, single 150 s exposure. Canon 1100D with 4.5 mm Sigma fisheye lens, f2.8, ISO 800, colour.

Bottom: James. 01:08:50 - 01:09:51 UT, stack of six consecutive 10 s exposures. RPi and PiCamera v2, ISO 800, monochrome.

20190514_0101125_allsky_AJS_5122.jpg
20190514_010850_allsky_JMA.jpg
26 Apr 2019. A satellite creates a trail with a bright flare in Virgo. (Yellow circle.) Jupiter and Saturn are indicated respectively by the red circles at 5 o'clock and 6 o'clock.

Alan. 02:55 - 02:57 UT, single 150 s exposure. Canon 1100D with 4.5 mm Sigma fisheye lens, f2.8, ISO 800, colour.

20190426_0257_fireball_AJS_3897.jpg
21 Apr 2019. A satellite crossing Ursa Major creates a short trail with a central bright flare.

James. 21:03:00 - 21:03:10 UT, single 10 s exposure. RPi and PiCamera v2, ISO 800, monochrome.

20190421_210301_allsky_JMA.jpg
20 Apr 2019. A suspected meteor in Gemini exhibits a long trail with several flares.

Alan. 21:45 - 21:47 UT, single 150 s exposure. Canon 1100D with 4.5 mm Sigma fisheye lens, f4.0, ISO 800, colour. (The lens was stopped-down slightly compared to its usual setting because of the bright moonlight.)

20190420_2147_allsky_AJS_3109.jpg
30 Mar 2019. A bright fireball appears behind trees on the horizon.

Alan. 03:51 - 03:53 UT, single 150 s exposure. Canon 1100d with 4.5 mm Sigma fisheye lens f2.8, ISO 800, colour.

The object was also imaged by members of UKMON, NEMETODE and the BAA. Triangulation of images by UKMON placed the object above Lincolnshire, UK.

20190330_0353_fireball_AJS_9910.jpg
29 Mar 2019. A satellite on the boundary of Ursa Major and Leo Minor creates a trail of short streaks of light. The trail is visible on three consecutive nights and shifts slightly against the background stars.

Top: James. 00:40:01 - 00:41:02 UT, stack of six consecutive 10 s exposures. RPi and PiCamera v2. ISO 800, monochrome.

Bottom: Alan. 4.5 mm Sigma fisheye lens, 150 s exposures, f2.8, ISO 800, colour. Images on three consecutive nights as follows:

20190329_004001_allsky_JMA.jpg
20190329-31_satellite_dots_AJS.png
28 Mar 2019. A satellite in Ursa Major creates a short trail with intensity variations.

James. 21:47:18 - 21:47:28 UT, single 10 s exposure.

20190328_214719_allsky_JMA.jpg
25 Mar 2019. A dual trail created by military satellite USA 238 and associated orbital debris.

Alan. 20:14 - 20:16 UT, single 150 s exposure. Canon 1100D with 4.5 mm Sigma fisheye lens f2.8, ISO 800, colour.

20190325_2016_allsky_AJS_9132.jpg
18 Mar 2019. A bright satellite flare in Boötes.

Top: Alan. 03:13 - 03:15 UT, single 117 s exposure. Canon 1100D with 4.5 mm Sigma fisheye lens f2.8, ISO 800, colour.

Bottom: James. 03:13:48 - 03:14:09 UT, stack of two consecutive 10 s exposures. RPi and PiCamera v2, ISO 800, monochrome.

The inset in the lower image compares images by James (LHS) and Alan (RHS) in the region of the flare. Clearly, the flare shows minimal parallax relative to the nearby triangle of stars formed by θ, 17 and 21 Boötes, indicating that the object responsible is at an altitude of several hundred kilometres and must therefore be a satellite rather than a meteor.

20190318_0315_satellite_AJS_7856.jpg
20190318_031348_allsky_JMA.jpg
25 Feb 2019. An extended satellite flare passes through Corona Borealis and Boötes, with a bright peak luminosity.

James. 04:59:53 - 05:01:25 UT, stack of nine consecutive 10 s exposures. RPi and PiCamera v2, ISO 800, monochrome.

20190226_050115_allsky_composite_JMA.jpg
15 Feb 2019. A fireball in Hydra is visible near the horizon. The object was also imaged by Benelux observers, enabling triangulation of its trajectory.

Alan. 20:09 - 20:11 UT, single 150 s exposure. Canon 1100D with 4.5 mm Sigma fisheye lens, f2.8, ISO 800, colour.

20190215_2011_fireball_AJS_3683.jpg
13 Feb 2019. A fireball in Lepus is only just visible behind thick cloud.

Alan. 20:55 - 20:57 UT, single 150 s exposure. Canon 1100D with 4.5 mm Sigma fisheye lens, f2.8, ISO 800, colour.

The object was initially missed on examination of the night's images and was spotted on a more thorough examination following a report by a visual observer. A 60% waxing Moon creates a bright background sky.

20190213_2057_fireball_AJS_3151.jpg
31 Jan 2019. A fireball in Leo shows a bright terminal flare.

Alan. 03:02 - 03:04 UT, single 150 s exposure. Canon 1100D with 4.5 mm Sigma fisheye lens, f2.8, ISO 800, colour.

20190131_0304_fireball_AJS_1490.jpg
24 Dec 2018. A double satellite trail. Comet 46P/Wirtanen is circled left of centre. Montage showing the motion of 46P/Wirtanen, 09-13 December 2018.

Alan. 17:37 - 17:40 UT, single 150 s exposure. Canon 1100D with 4.5 mm Sigma fisheye lens f2.8, ISO 800, colour. The image was captured approximately 10 minutes after the image immediately below.

20181224_1740_allsky_AJS_7138.jpg
24 Dec 2018. Two consecutive frames show a flare caused by surveillance satellite NOSS3-3A (one of the US Naval Ocean Surveillance Satellites). The flare commenced towards the end of the first frame (bottom) and brightened during the second (top).

Alan. Bottom: 17:21 - 17:24 UT, top: 17:24 - 17:27 UT. Both frames are 150 s exposures. Canon 1100D with 4.5 mm Sigma fisheye lens, f2.8, ISO 800, colour.

20181224_1727_allsky_AJS_7132-3.jpg
10 Dec 2018. A fireball in Ursa Major with a terminal flare.

Top: Alan. 05:38 - 05:40 UT, single 150 s exposure. Canon 1100D with 4.5 mm Sigma fisheye lens, f2.8, ISO 800, colour.

Middle: James, 05:38:40 - 05:38:50 UT, single 10 s exposure, ISO 800, monochrome. RPi and PiCamera v2, background stars labelled.

Bottom: this was the first occasion on which both cameras imaged a meteor, so it was possible to calculate a triangulation. The trajectory was from west to east over Essex, dropping from an initial height of 111 km with the terminal flare just south of Sudbury at an altitude of 84 km.

20181210_0538_fireball_AJS_5920.jpg
20181210_053841_fireball_annotated_JMA.jpg
20181210_053841_track.jpg
17 Nov 2018. A satellite flare in Lacerta.

James. 19:04:00 - 19:04:10 UT, single 10 s exposure. RPi and PiCamera v2, ISO 800, monochrome.

20181117_190401_allsky_JMA.jpg
04 Nov 2018, A passage of the International Space Station (ISS) from west to east (right to left), from Auriga through Lynx and Ursa Major.

James. 05:20:46 - 05:21:47 UT, stack of six consecutive 10 s exposures. RPi and PiCamera v2, ISO 800, monochrome.

20181104_052147_ISS_JMA.jpg
03 Nov 2018. The track of a satellite spans the height of the frame, from Cepheus (top) through Cygnus (bottom).

James. 18:41:03 - 18:43:06 UT, stack of twelve consecutive 10 s exposures. RPi and PiCamera v2, ISO 800, monochrome.

20181103_184103_allsky_JMA.jpg
03 Nov 2018. A passage of the International Space Station (ISS).

Alan. 04:36 - 04:39 UT, single 150 s exposure. Canon 1100D with 4.5 mm Sigma fisheye lens, f2.8, ISO 800, colour.

20181103_0436_ISS_AJS_1400.jpg
10 Oct 2018. Differentiating between satellites and meteors.

Top: James. 03:03:38 - 03:03:48 UT, single 10 s exposure. RPi and PiCamera v2, ISO 800, monochrome. The two streaks (circled) were initially thought to be meteor trails.

Middle: Alan. 03:02 - 03:04 UT, single 150 s exposure. Canon 1100D with 10-18 mm Canon zoom lens set to 10 mm, f4.5, ISO 800, colour (contrast stretched).

Bottom: the brighter streak (red) in the James's image also appeared in Alan's. Adjusting both images to a common scale and orientation and overlaying them shows no discernible parallax. The brighter, shorter trail is from James's image and the fainter, longer one from Alan's). This indicates that the object responsible was at an altitude of several hundred km, too high for a meteor.

20181010_00339_allsky_JMA.jpg
20181010_0304_satellite_AJS_8171.jpg
20181010_030339_sat_trail_overlay_JMA_AJS_8171.jpg
10 Oct 2018. Almost one week after first light of the PiCamera v2, the camera recorded a bright satellite dot, in one frame, equidistant from Capella and Algol.

James. 02:18:29 - 02:18:39 UT, single 10 s exposure. RPi and PiCamera v2, ISO 800, monochrome.

20181010_021830_allsky_annotated_JMA.jpg
08 Oct 2018. A fireball exhibits two terminal flares.

Alan. 20:10 - 20:12 UT, single 150 s exposure. Canon 1100D with 10-18 mm Canon zoom lens set to 10 mm, f4.5, ISO 800, colour.

20181008_2012_fireball_AJS_7750.jpg
04 Oct 2018. First light of the PiCamera v2. The image is unremarkable!

James. 19:21:04 - 19:21:14 UT, single 10 s exposure. RPi and PiCamera v2, ISO 800, monochrome.

20181004_192105_allsky_JMA.jpg
26 Sep 2018. The bright track of the ISS is accompanied by the faint track of supply vessel Kounotori HTV7, manoeuvring to dock with it. (The track of the companion is faintly visible in the image when zoomed in.)

Alan. 19:48 - 19:50 UT, single 150 s exposure. Canon 1100D with 10-18 mm Canon zoom lens set to 10 mm, f4.5, ISO 800, colour.

20180926_1950_ISS_AJS_6022.jpg
26 Sep 2018. The trail left by military reconnaissance satellite USA 186. Below and to the left, there are two aircraft trails (appearing as lines of well-spaced dashes).

Alan. 19:33 - 19:35 UT, single 150 s exposure. Canon 1100D with 10-18 mm Canon zoom lens set to 10 mm, f4.5, ISO 800, colour.

The craft allegedly carries an optical telescope in excess of 2.5 m aperture, theoretically able to image objects as small as 5 cm on the surface of the Earth!

20180926_1935_allsky_AJS_6016.jpg
24 Sep 2018. A double trail reveals a double-satellite. The object is designated USA 229, but was originally a member of the NOSS series. One of the pair is classed as debris, and moves a short distance behind the other.

Alan. 20:02 - 20:05 UT, single 150 s exposure. Canon 1100D with 10-18 mm Canon zoom lens set to 10 mm, f4.5, ISO 800, colour.

20180924_2005_USA229_AJS_5537.jpg
06 Sep 2018. First light of Alan's camera with the 10 mm Canon lens. The additional sensitivity of the new lens is obvious, with the Milky Way and the Andromeda galaxy clearly visible.

Alan. Time not recorded. Single exposure. Canon 1100D with 10-18 mm Canon zoom lens set to 10 mm, 150 s exposure, f4.5, ISO 1600, colour.

20180906_allsky_AJS_3466.jpg
25 Aug 2018. Close to the constellation Hercules, four dots of light (one relatively bright and three fainter, in line) betray the presence of the French military surveillance satellite Helios 1A. Observers have monitored it at magnitude -4 on one occasion! A full moon illuminates the entire sky and terrestrial objects.

Alan. 22:03 - 22:06 UT, single 300 s exposure. Canon 1100D with adapter-Helios-Spiratone lens combination, f11, ISO 1600, colour.

20180825_2206_Helios1a_AJS_2598.jpg
15 Aug 2018. A flare caused by Iridium 54, the first Iridium flare captured by Alan's camera.

Alan. 02:13 - 02:18 UT, single 300 s exposure. Canon 1100D with adapter-Helios-Spiratone lens combination, f11, ISO 1600, colour.

20180815_0218_Iridium54_AJS_1800.jpg
11 Aug 2018. A satellite flare in Draco.

Alan. 00:04 - 00:09 UT, single 300 s exposure. Canon 1100D with adapter-Helios-Spiratone lens combination, f11, ISO 1600, colour.

The night of 11-12 August was the only one offering clear skies around the time of the Perseid maximum in 2018. The sky was very transparent following two days of heavy rain which had washed the atmosphere clear of dust, and the Moon was new on 11 August so did not interfere with observations. Although the camera did not record any meteors, it did catch several satellite trails, of which the brightest is to the right.

20180811_0009_allsky_AJS_1595.jpg
10 Aug 2018. Sky vista looking due east. A satellite flare, initially mistaken for a meteor, is visible in Pegasus.

James. 23:15 UT, single 8 s exposure. Canon 6D MkII, 24-105 mm lens at 24 mm, f3.5, ISO 4000, colour.

20180810_231434_Per+Cas_JMA_5180.jpg
10 Aug 2018. Sky vista looking due east. A satellite flare is visible in Cepheus (yellow circle), one aircraft trail in Perseus, close to the Double Cluster (red circle) and another in Pegasus. The yellow arrow highlights the Andromeda Galaxy, M31.

James. 22:52 UT, single 8 s exposure. Canon 6D MkII, 24-105 mm lens at 24 mm, f3.5, ISO 4000, colour.

20180810_225138_Per+Cas_JMA_5094.jpg
06 Aug 2018. The first fireball recorded by Alan's camera! It exhibits a train, two intermediate flares and a terminal flare. The Moon has risen and, although out of frame, has caused internal reflections. Focus is not perfect.

Alan. 00:07 - 00:12 UT, single 300 s exposure. Canon 1100D with adapter-Helios-Spiratone lens combination, f11, ISO 1600, colour.

20180806_0012_allsky_AJS_1369.jpg
03 Aug 2018. A short satellite trail in Lyra, below right of centre of image.

Alan. 22:48 - 22:54 UT, single 300 s exposure. Canon 1100D with adapter-Helios-Spiratone lens combination, f11, ISO 1600, colour.

This is the first colour image with Alan's camera. It was taken through thin cloud.

20180803_2254_allsky_AJS_1180.jpg
20 Jul 2018. A passage of the International Space Station (ISS), at maximum magnitude -4.0. The Milky way is also clearly visible.

Alan. 00:14-00:19 UT, single 300 s exposure. Canon 1100D with adapter-Helios-Spiratone lens combination, f11, ISO 1600, monochrome.

20180720_0019_allsky_AJS_9968.jpg
19 Jul 2018. A brief flare created by US NOSS (Naval Ocean Surveillance Satellites) 3a and 3c. (The two satellites are tethered together in orbit.)

Alan. 23:08 - 23:13 UT, single 300 s exposure. Canon 1100D with adapter-Helios-Spiratone lens combination, f11, ISO 1600, monochrome.

20180719_2313_allsky_AJS_9955
05 Jul 2018. A faint satellite trail in Draco.

Alan. 23:07 - 23:12 UT, single 300 s exposure. Canon 1100D with adapter-Helios-Spiratone lens combination, exposure, f11, ISO 1600, monochrome.

20180705_2312_allsky_AJS_9300.jpg
03 Jul 2018. Sky vista looking due south. Five satellite trails are visible! (Some are very faint.)

James. 21:14 UT, single 5 s exposure. Canon 6D MkII, 24-105 mm lens at 24 mm, f3.5, ISO 4000, colour.

20180703_211414_satellite_trails_JMA_2219.png
First light from Alan's all-sky camera. The image was indistinct and showed little detail; this was in part because the sky was cloudy, in part due to Alan's lack of familiarity with the equipment! Improvements in image quality soon followed.

Alan. 16 Jun 2018, approx 22:30 UT, single 300 s exposure. Canon 1100D with adapter-Helios-Spiratone lens combination, f11, ISO 800, monochrome.

20180616_2230_allsky_AJS_8061.jpg

Aircraft, Satellites and Meteors

Trails created by aircraft and satellites are far more numerous in the night sky than those associated with meteors! An image from James's camera of 5 s duration, captured on the evening of 03 July 2018 (see above), showed five satellite trails! A later image, of 8 s duration, taken on 10 August 2018 (see above), showed typical trails from both satellites and aircraft.

Aircraft trails are easily recognised by the characteristic patterns of their navigation lights. Satellites in orbit appear as points of light or trails in time-exposure photographs. The most prominent satellite is the ISS, which can create a trail as bright as magnitude -6.0 extending over much of an arc of the sky. Initially, Alan and James found it difficult to reliably differentiate between trails created by satellites and meteors and, indeed, identified many satellites erroneously as meteors. Fortunately, with practice, their powers of discrimination improved! In general, satellite trails are symmetric, smooth and of a single hue (reflected sunlight), whereas meteor trails are asymmetric (often with a terminal flare), sometimes show internal structure and can exhibit varying colours as different gasses are ablated by the passage of the body through the atmosphere.

A meteor moves much faster through the sky than does a satellite so, when the camera is equipped with a shutter, the trail created by a satellite appears smooth, without breaks, whereas that created by a meteor appears segmented.

References

[1]

Zdenek Ceplecha, "Geometric, Dynamic, Orbital And Photometric Data On Meteoroids From Photographic Fireball Networks", Bull. Astron. Inst. Czechosl. 38 (1987), 222-234.

[2]

Denis Vida, 2016, Python programme for meteor triangulation, https://github.com/CroatianMeteorNetwork/CMN-codes/blob/master/triangulation/MeteorTriangulation.py.


Alan Smith, James Appleton